产氧光合作用的成功进化导致了地球第一次大氧化事件(The Great Oxidation Event,24.5–23.3亿年前),驱动表层地球系统发生革命性变化,这一关键的代谢创新是地球和生命演化历史上最重要的里程碑事件之一。但时至今日,产氧光合作用如何起源、何时起源仍然是未解之谜。

图1 矿物–水界面产生的活性氧(H2O2和O2)对蓝细菌祖先造成的环境压力
产氧光合作用的核心过程是在光系统II中分解H2O以提取电子,但H2O本身是一种稳定的化合物,蓝细菌祖先很难从其中获取电子。目前普遍认为,在蓝细菌祖先获得分解H2O的能力之前,曾利用过渡的电子给体来进行光合作用。基于蓝细菌进化产氧光合作用前必须克服活性氧(ROS,如O2,·O2-,H2O2等)的毒性这一前提(图1),著名分子生物学家Blankenship教授与Hartman教授共同提出假设:在不产氧的光合反应中心和含锰过氧化氢酶组成的原始系统中,H2O2作为过渡电子给体在双电子反应中释放O2。这一假设成立的关键前提是,太古代地表局部必须有充足的H2O2供应,但最新的研究表明,到达太古代地表的大气光化学过程产生的H2O2远不足以支持产氧光合作用的进化。那么,足量的H2O2究竟来源于何处?
近日,中国科学院广州地球化学研究所何宏平研究员、朱建喜研究员与香港大学李一良教授、加拿大阿尔伯塔大学Kurt O. Konhauser教授合作,从矿物表/界面反应的视角,结合生物可利用性和持续供应考虑,提出一种新的产氧途径和产氧光合作用进化的新理论。

图2 石英–水界面H2O2和O2产生的生成动力学过程
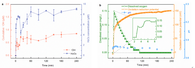
研究团队选取沉积物中丰度最高的矿物—石英作为研究对象,通过在模拟的太古代大气环境(PO2<10-6 atm)中开展石英机械磨蚀和石英–水界面反应的实验,发现在无氧条件下石英表面可以产生充足的H2O2和O2(图2)。太古代砂质海岸原位产生的H2O2通量可达到4.87×1011个分子每平方厘米每秒,这种矿物机械化学反应产生H2O2的速率远高于大气光化学的H2O2通量(106个分子每平方厘米每秒),足够形成和维持太古代的局部氧化环境(图3)。即便是现代蓝细菌微生物席中的O2生成速率(9.63×1013个分子每平方厘米每秒),也仅比太古代海岸原位产生的O2通量高约400倍。这表明,在浅海高能环境中,石英的磨蚀过程是一个具有重要地质意义的产氧途径。

图3 太古宙局部环境中随时间积累的H2O2浓度
研究团队提出,在典型的动荡水体环境中(如,河流、河口、三角洲和浅海),矿物–水界面反应可产生充足的H2O2和O2,氧化消耗水体中的还原性电子给体(如,H2S,Fe(II)等),形成的局部氧化环境对栖息于微生物席或水体中的不产氧光合细菌造成氧化应激,胁迫蓝细菌祖先适应ROS毒性并创新代谢方式,从而为产氧光合作用的起源提供进化压力(图4)。正如从南非Moodies群沉积岩(32亿年)中观察到的那样,在与沙质层夹杂的微生物席中,蓝细菌祖先就可能已经在这样的弱氧化环境中从H2O2获取电子来进行产氧光合作用。这一设想与系统发育分析获得活性氧解毒酶和氧利用酶的出现时间一致,可能是产氧光合作用起源的最小年龄。依据上述发现可进一步推断,早期地球上类似的氧化环境可能常见于有强烈水动力的陆表水体,这从侧面支持了蓝细菌最早起源于低盐度的陆地淡水环境,后来向海水适应和拓殖的演化历史。此外,这种弱氧化环境也有利于早期生物进行有氧合成和矿化(如,蓝细菌合成叶绿素、趋磁细菌矿化合成磁小体Fe3O4)。

图4 太古代蓝细菌祖先在矿物–水界面产生的H2O2支持下进化产氧光合作用
更重要的是,硅酸盐矿物物理风化这一产氧途径的发现为早期地球的氧化还原演化提供了重要启示。尽管硫同位素的非质量分馏表明,太古代全球大气的氧浓度低于10-5倍的现代大气氧水平,但新的无机地球化学指标显示,太古代氧化事件从38亿年前就开始局部零星地出现,其发生频次和强度逐渐增加,直至24.5–23.3亿年前的氧化高潮(大氧化事件)来临。这意味着,岩浆洋冷却后的太古代地表并非传统理解的均一还原状态,而太古代的氧化驱动力很有可能就来源于地表广泛存在的物理剥蚀过程中的矿物-水界面反应。这种产氧途径在地表局部导致的氧化程度远超大气光化学氧化剂的影响,不仅支持早期微生物在氧化环境中适应进化和矿化合成,甚至可以逐渐驱动地球表层系统的氧化演进。
该研究得到了国家自然科学基金创新研究群体项目(41921003)、国家杰出青年科学基金项目(41825003)、中国科学院前沿科学重点研究计划资助项目(QYZDJ-SSW-DQC023)、中国科学院战略性先导科技专项B类(XDB41000000;XDB18000000)等项目的联合资助。相关论文近期发表在《自然-通讯》(Nature Communications),更多信息请参见原文。
论文信息:He H.P., Wu X., Xian H.Y., Zhu J.X., Yang Y.P., Lv Y., Li Y.L, Konhauser K.O. An abiotic source of Archean hydrogen peroxide and oxygen that pre-dates oxygenic photosynthesis. Nature Communications 12, 6611 (2021). DOI: 10.1038/s41467-021-26916-2
